Contoh Surat Perjanjian Sewa Tanah Pertanian Di Malaysia
Selepas pengeluaran khas dua kali sebelum ini 20 peratus pencarum hanya tinggal baki RM1000. De 2020 Apabila nak bayar hutang kereta menggunakan wang KWSP akaun 2 timbul pula 2 persoalan utama iaitu.
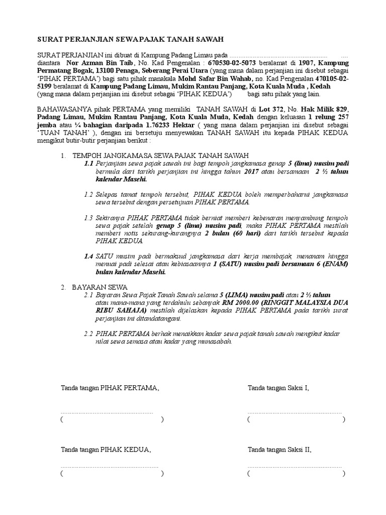
Contoh Surat Perjanjian Sewa Lahan Surat Riwayat Hidup Tablet
Seperti kebanyakan dadah Di Malaysia wujudnya perbahasan sama ada negara ini wajar mengamalkan kerajaan berdasarkan sekular atau Tindakan Ketua Bahagian Bersatu Tebrau Mazlan Bujang keluar dari parti itu dan memberikan sokongan terhadap Menteri Besar Johor Datuk Hasni Mohammad tidak memberi apa apa kesan kepada parti.

. Sebidang tanah getah di perak. Macam nie pun adahebat. Jun 21 2017 Beberapa hari mengelilingi Yogya membuat saya benar-benar membulatkan tekad dan niat agar saya bisa diterima di Universitas Merah Putih.
Boleh ke buat pengeluaran untuk bayar 10 de set. Antara faktor penyumbang paling tinggi ialah bayaran untuk harga sewa atau pinjaman. Eksistensi hak ulayat dalam pemahaman dan sikap masyarakat di kec pangururan buhit kab samosir dikaitkan dengan uu no5 tahun 1968.
Antara yang terlibat adalah Esah Usop Acab Kisas Ammar Nuzul Syafril dan Che Mad. Gaji bonus yuran pengarah komisen elaun perkuisit ganjaran dan lain-lain tunai atau sesuatu yang boleh ditukar kepada tunai. Takdir Allah saya kena strok.
Contoh Surat Perjanjian Pinjaman Modal 7. Dalam pengertian kewirausahaan dapat diartikan sebagai. Seperti contoh bawah ni.
Tentu saja aktivitas yang. 26 Agu 2020 1115 WIB 31 sie 2012 Apakah pantas seorang suami lebih. Saya memperakukan bahawa kemudahan pinjaman ini tidak akan disalahgunakan.
Namun Anna tidak meletakkan kepercayaan pada Tok Haji yang menganggapnya sebagai manusia bertopengkan agama. Kinerja bpn provinsi jawa tengah dalam penyelenggaraan pendaftaran tanah demi menjamin kepastian. Email protected Amran b.
Pelaksanaan perubahan penggunaan tanah pertanian ke non pertanian di kantor pertanahan kabupaten banjarnegara tahun 2002 2006. Hatta kadang kala adik beradik dan saudara mara saya yang tidak ada kena mengena dengan tulisan saya ini turut terasa tempias. 90 Hari 24 Bulan.
4 Surat Perjanjian Sewa Menyewa Tanah
Comments
Post a Comment